์๋ ฅ์ด๋?
์ธ๋ ฅ์ด ๊ฐํด์ก์ ๋ ์ฌ๋ฃ ๋ด ์๊ธฐ๋ ๋ด๋ ฅ(์ ํญ๋ ฅ)
๋จ์๋ฉด์ ๋น ํฌ๊ธฐ๋ก ์ ์ ํจ

๋จ์ : ํ์ค์นผ(Pascal, Pa), N/m^2 → ์๋ ฅ์ ๋จ์

์๋ ฅ์ ์ข ๋ฅ
- ์ธ์ฅ์๋ ฅ(Tensile stress)
- ์์ถ์๋ ฅ(Compressive stress)
- ์ ๋จ์๋ ฅ(Shear Stress)
- ํจ์๋ ฅ(Bending stress)
- ๋นํ๋ฆผ(Torsion stress)
๊ตฌ์กฐ๋ฌผ์ ๊ฐํด์ง๋ ํ์ค์ ์ข ๋ฅ์ ๋ฐ๋ผ ๊ตฌ๋ถ
์์ง ์๋ ฅ(1. ์ธ์ฅ์๋ ฅ, 2. ์์ถ์๋ ฅ)

P : Load
A : Cross sectional Area
ํ์ ๋ฉด์ผ๋ก ๋๋
๋จ๋ฉด์ ์ ์์ฉํ๋ ํ์ค

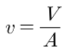
3. ์ ๋จ์๋ ฅ

V : Shear force
A : Cross sectional Area
๋จ๋ฉด์ ์ ์์ฉํ๋ ์ ๋จ๋ ฅ

4. ํจ ์๋ ฅ
์์ง๋ ์ ๋จ๋ ฅ๋ ์๋ ํจ ๋ชจ๋ฉํธ๊ฐ ์์ฉ
ํ์ชฝ ๋ฉด์ ์์ถ ์๋ ฅ์ ๋ฐ๊ณ , ๋ฐ๋์ชฝ ๋ช์ ์ธ์ฅ ์๋ ฅ์ ๋ฐ์
์์ถ๊ณผ ์ธ์ฅ์ด ๋ฐ์ํ์ง ์๋ ์ค๋ฆฝ์ถ(Neutral axis)์ด ์กด์ฌ
๋ฐ๋ผ์ ์์ง์๋ ฅ๊ณผ ์ ๋จ์๋ ฅ๊ณผ ๋ฌ๋ฆฌ ๊ตฌํ๋ ๋ฐฉ๋ฒ์ด ๋ค๋ฆ

M : Bending moment
Z : Section modulus. ๊ตฌ์กฐ๋ฌผ์ ๋จ๋ฉด ํ์๊ณผ ํฌ๊ธฐ์ ๋ฐ๋ผ ๊ฒฐ์ ๋๋ ๊ฐ์ผ๋ก, ๋จ๋ฉด์ ์ ํญ ๋ฅ๋ ฅ์ ๋ํ๋
ํจ ์๋ ฅ์ ๋จ๋ฉด๊ณ์์ ๋ํด ์์ฉํ๋ ๊ตฝํ ๋ชจ๋ฉํธ๋ฅผ ์๋ฏธ

'๐ผ ์ผ' ์นดํ ๊ณ ๋ฆฌ์ ๋ค๋ฅธ ๊ธ
| SMD Size ๊ท๊ฒฉ (0) | 2024.06.26 |
|---|---|
| ์ฌ๋ฃ์ ๋ฌผ์ฑ - ์๋ ฅ-๋ณํ๋ฅ ์ ๋(Stress-Strain Diagram) (1) | 2024.06.20 |
| ์ค๋ฌด์ ๋ฐ๋ก ์ฌ์ฉ ๊ฐ๋ฅํ ์ ์ ์ค์์น ํ๋ก (0) | 2024.04.25 |
| LED ํ๋ก ์ค๊ณ (0) | 2024.03.12 |
| ๊ธฐ์ด์ ์ข ๋ฅ ๋ฐ ๊ธฐ์ด ์ค๊ณ ์ ๊ณ ๋ คํด์ผ ํ ์ฌํญ (0) | 2024.02.14 |