
๋์ฌ์ ์ข ๋ฅ
๊ฒฐํฉ์ฉ ๋์ฌ : ์กฐ๋ฆฝํ ๋ → ์ผ๊ฐ ๋์ฌ
์ด๋์ฉ ๋์ฌ : ์ด๋ ์ํฌ ๋ → ์ฌ๊ฐ ๋์ฌ, ์ฌ๋ค๋ฆฌ๊ผด ๋์ฌ

์ผ๊ฐ ๋์ฌ
(๋ฏธํฐ ๋์ฌ)
M(ํธ์นญ์ง๋ฆ * ํผ์น)
๋์ฌ์ฐ์ ๊ฐ๋ (α) : 60º
์ผ๋ฐ์ ์ผ๋ก 60º์ ์ฌ์ฉ
๋์ฌ์ฐ์ ๊ฐ๋๊ฐ ํด์๋ก ๊ฒฐํฉ๋ ฅ์ด ํผ

์ฌ๊ฐ ๋์ฌ
๊ฒฐํฉ๋ ฅ์ด ์ฝํ์ง๋ง ๊ทธ๋งํผ ๋ง์ฐฐ๋ ฅ๋ ์ฝํด ์ด๋์ด ์ฉ์ด ํจ

์ฌ๋ค๋ฆฌ๊ผด ๋์ฌ
์ผ๊ฐ๊ณผ ์ฌ๊ฐ ๋์ฌ์ ์ ์ถฉ์
์ด๋๊ณผ ๊ฒฐํฉ๋ ฅ ์ ์ ์์ค
TM(๋ฏธํฐ๊ณ) : 30º
TW(์ธ์น๊ณ) : 29º
์ฃผ๋ก ์ฌ์ฉ

๋์ฌ์ ๋ช ์นญ, ์ฉ์ด





ρ(๋ง์ฐฐ๊ฐ)๋ ๊ทธ๋ฆผ์์ ํํํ ์ ์๋ ๊ฐ. ํ์ ๋ ฅ์ ์ฝ๊ฒ ๊ตฌํ๊ธฐ ์ํด μ(๋ง์ฐฐ๊ณ์)๋ฅผ ํ์ฐํ ๊ฐ์ด๋ค.

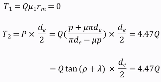
Q = ๋ฌ๊ณ ์๋ ๋ฌผ์ฒด์ ํ์ค
P = ์ํ๋ฐฉํฅ ํ

์ ๋ฌํ ํฌ

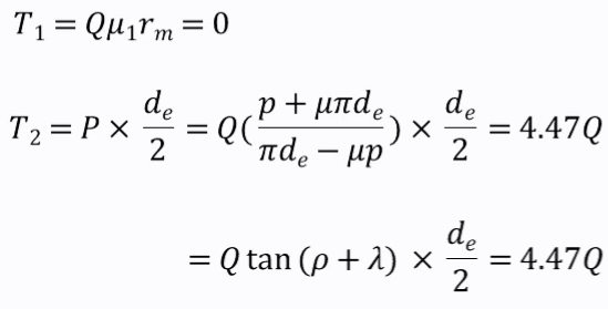
"Tโ(์๋ฆฟ๋ฉด ํ ํฌ)"
๋จธ๋ฆฌ๊ฐ ํ์ ๋ฟ์ ์ ๊ฒจ์ ๋ฐ์ํ ํ

์ด๊ฑด ๋จธ๋ฆฌ๊ฐ ํ์ ๋ฟ์ ์์ ๋๋ง ๊ณ ๋ ค
๋ค ์ฑ์์ ธ ์๋๊ฒ ์๋๋ผ๋ฉด ๊ณ ๋ ค์ํด๋ ๋จ
"Tโ(ํ์ ํ ํฌ)"

์ฒด๊ฒฐ์ ํ์ํ ์ต์ ํ
"Tโ(ํ์ ํ ํฌ)"์ ํด๋น
์ํ๋ ฅ(p) ≥ ๋ง์ฐฐ๋ ฅ = μ(๋ง์ฐฐ๊ณ์)*N(์์งํญ๋ ฅ)
์ฃ๋ ํ(์ํ๋ ฅ)์ด ๋ง์ฐฐ๋ ฅ๋ณด๋ค ์ปค์ผ ํ๋ค.
๋ง์ฐฐ๋ ฅ์ ๋ง์ฐฐ๊ณ์์ ์์งํญ๋ ฅ์ ์ํฅ์ ๋ฐ์ผ๋ฉฐ,
์ํ๋ ฅ๊ณผ ์์ง๋ ฅ์ ํตํด ์์์ ๊ฐ๋ตํํ๋ฉด,

์๊ธฐ ์์์ด ๋์ถ๋๋ค.
์ฆ, ๋์ฌ ์ฒด๊ฒฐ ์,
์ฃ๋ ํ(์ํ๋ ฅ, p)๋ Q tan (ρ + λ) ๋ณด๋ค ์ปค์ผ ํ๋ค.
๏ผQ = ๋ฌ๊ณ ์๋ ๋ฌผ์ฒด ํ์ค
๏ผρ = ๋ง์ฐฐ๊ฐ
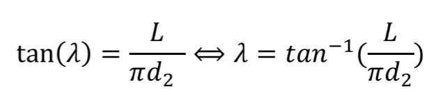
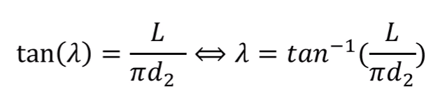
๏ผλ = ๋ฆฌ๋๊ฐ


์์

ํผ์น 1mm, ์ ํจ์ง๋ฆ 5.35mm์ธ 1์ค ๋์ฌ
100mm์ ์คํจ๋์ 4kg์ ํ์ ์์ฉํ์ฌ ์ฒด๊ฒฐ ์ํฌ ๋,
๋์ฌ ์ถ์ ๊ฑธ๋ฆฌ๋ ์ต๋ ํ์ค(Q)
(μ = 0.1)
"์ฒด๊ฒฐ ํ ํฌ"
T = 4kgf * 100mm
= 400 kgf mm

์์




๋์ฌ ์๋ฆฝ ์กฐ๊ฑด
ρ(๋ง์ฐฐ๊ฐ) > λ(๋ฆฌ๋๊ฐ)
๋ง์ฐฐ๊ฐ๊ณผ ๋ฆฌ๋๊ฐ์ด ๊ฐ์์ง๋ ์ง์ ๋ถํฐ ์๋ฆฝ์ด ๋์ง ์์
๊ฐ๋งํ ๋ต๋ฌ๋ ์ ์ ๋ก ํ๋ฆฐ๋ค๋ ์ด์ผ๊ธฐ
η(๋์ฌ ํจ์จ) < 0.5
๋์ฌ์ ํจ์จ์ด 0.5๋ณด๋ค ์์์ผ ํ๋ค.
๋์ฌ ํจ์จ์ด 0.5๋ณด๋ค ์๋ค๋ ๊ฒ์
"ρ(๋ง์ฐฐ๊ฐ) > λ(๋ฆฌ๋๊ฐ)"์ ๋ง์กฑํ๋ค๋ ๊ฒ์ด๋ค.
๋์ฌ์ ํจ์จ
ํ์ ์ ํฌ์ ํ ์ผ ๋๋น ์ด๋ฃจ์ด์ง ์ ํจ ์ผ
๋์ฌ๋ ํจ์จ์ผ ๋ฌด์กฐ๊ฑด ๋๋ค๊ณ ์ข์๊ฒ ์๋
ํจ์จ์ผ ์ข๋ค๋ ๊ฒ์ ์ฝ๊ฐ๋ง ํ์ ๊ฐํด๋ ์๋ค์ด๊ฐ๋ค๋ ์๋ฏธ
๋ฐ๋๋ก ์ฝ๊ฐ์ ํ์ผ๋ก ์ํ๋ฆฐ๋ค๋ ์๋ฏธ
๋์ฌ์ ํจ์จ์ด 0.5๋ณด๋ค ์์์ผ ํ๋ค.
๋์ฌ ํจ์จ์ด 0.5๋ณด๋ค ์์์ผ ์ค์ค๋ก ํ๋ฆฌ์ง ์๋๋ค.
"๊ตฌํ๋ ์์"

"Tโ(์๋ฆฟ๋ฉด ํ ํฌ) = 0"์ด๋ฉด ๋๋ฒ์งธ ๊ณต์์ผ๋ก ํ์ด๋ ๋จ
๊ทธ๊ฒ ์๋๋ฉด ์ฒซ๋ฒ์งธ ๊ณต์์ผ๋ก ํ์ด์ผ ํจ
์์

์ฐธ์กฐ
(40) 2020ํ๋ ๋ ๊ธฐ๊ณ์์์ค๊ณ 2์ฃผ์ฐจ 04. ๋์ฌ์ญํ ์ฒด๊ฒฐ - YouTube

'๐ผ ์ผ' ์นดํ ๊ณ ๋ฆฌ์ ๋ค๋ฅธ ๊ธ
| ๊ฐ๋ ๋จ์ ํ์ฐ(Angle conversion) :: ๋(degree), ๋ถ(arcmin), ์ด(arcsec) (1) | 2022.08.30 |
|---|---|
| ROS ์ฉ์ด :: Package, Stack, Repository (0) | 2022.08.30 |
| ์ต๋ ์ ์ง ๋ง์ฐฐ๋ ฅ ์ฐ์ถ ๋ฐฉ๋ฒ (1) | 2022.08.26 |
| ํ ํฌ๋? ๊ธฐ๋ํ ํฌ(์๋ํ ํฌ), ์ ๋ํ ํฌ(์ต๋ํ ํฌ), ์ ๊ฒฉํ ํฌ (0) | 2022.08.24 |
| IMU(Inertial Measurement Unit) ์ผ์๋? (0) | 2022.08.23 |